How to Avoid Undercutting and Pointed Tooth Tips in Gear Design
1. Understanding the Root Causes
Before solving the problem, it’s crucial to understand why undercutting and pointed tooth tips occur.
(1) Undercutting
Cause:
When the number of gear teeth is too small, the cutting tool (such as a hob or shaper cutter) removes excessive material from the tooth root during the generating process, cutting into the involute profile.
Consequences:
- Weakens tooth root strength.
- Shortens the effective working profile and reduces contact ratio, affecting smoothness of transmission.
(2) Pointed Tooth Tips
Cause:
To improve performance (e.g., to avoid undercutting or adjust center distance), profile-shifted gears are often used. However, excessive positive profile shift increases the addendum circle, thinning the tooth tip.
Consequences:
- Reduces tooth tip strength, increasing the risk of chipping or wear.
- During heat treatment, thin tooth tips can overharden or crack due to overheating.
2. Design Methods to Avoid Undercutting
The key is to ensure the cutter’s tip line does not extend beyond the gear’s limit of engagement.
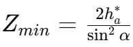
Method 1: Increase the Number of Teeth (Most Direct Method)
The minimum number of teeth to avoid undercutting in a standard gear is:

Where:
Zmin = minimum teeth number
ha∗ = addendum coefficient (usually 1 or 0.8)
α = pressure angle (usually 20°)
Example:
For a standard gear (α=20°, ha∗=1):

So, a standard spur gear should have at least 17 teeth to avoid undercutting.
In practice, a small margin is often added for safety.
Method 2: Apply Positive Profile Shift (Most Common and Effective)
If the gear must have fewer than Zmin teeth, apply positive profile shift.
Principle:
Move the cutting tool outward by xm (where x is the shift coefficient, m is module). This prevents the tool from cutting into the involute near the root.
The minimum shift coefficient to avoid undercutting is:

When Z < Zmin, xmin is positive.
If x ≥ xmin, undercutting will not occur.
Method 3: Increase Pressure Angle
Since

increasing α reduces Zmin.
For example, with α = 25°, Zmin ≈ 11.
Drawback: Larger pressure angles increase bearing loads and reduce transmission smoothness.
Method 4: Reduce Addendum Coefficient
Reducing ha∗ (e.g., from 1 to 0.8) can also lower Zmin.
Drawback: This reduces contact ratio and smoothness.
In practical design, increasing teeth number and using profile shift are the most widely used and effective methods.
3. Design Methods to Prevent Pointed Tooth Tips
The goal is to ensure sufficient tooth tip thickness.
Method 1: Check and Control Tooth Tip Thickness
The most fundamental step.
Tooth tip thickness for external gears:

Where:

Design Recommendations:
- For hardened gears: sa ≥ 0.25–0.4m
- For normalized gears: sa ≥ 0.3–0.5m
- sa = 0 is never acceptable.
Method 2: Adjust the Profile Shift Coefficient
If the tooth top becomes too sharp, it means x is too large.
Solutions:
- Reduce positive shift coefficient x (with recheck for undercutting risk).
- Use balanced profile shifting (x₁ and x₂ distributed between the two gears) to maintain both adequate tip thickness and correct center distance.
Method 3: Reduce Addendum Height
If the shift coefficient cannot be adjusted, reduce the addendum coefficient ha∗ or introduce a tip reduction factor σ:

Drawback: Slightly decreases contact ratio.
4. Integrated Design Workflow
A reliable gear design must balance undercutting and tooth-tip thinning:
- Determine basic parameters (m, α, Z₁, Z₂).
- Check for undercutting:
- Calculate Zmin;
- If Z < Zmin, determine xmin and choose x ≥ xmin.
- Select profile shift system (x₁, x₂ distribution based on center distance and strength).
- Calculate geometry (addendum circle, tooth dimensions).
- Check tooth tip thickness (sa ≥ 0.25m).
- If sa is too small, adjust x, ha∗, or σ.
- Finally, verify contact ratio, sliding ratio, and possible interference.
Gear design is a process of optimization and compromise—balancing multiple objectives such as avoiding undercutting, maintaining tip strength, ensuring smooth meshing, and achieving required load capacity.
Summary
Avoiding undercutting and pointed tooth tips is not just about formulas—it’s about understanding the geometric interactions within gear design.
Through careful parameter selection, profile shifting, and verification, engineers can achieve both strength and precision in transmission performance.